Beranda
/ Tentukan Turunan Pertama Dari Fungsi Fx = X - Rumus Turunan Fungsi Trigonometri Beserta Pembuktian / Suatu turunan fungsi f di x yang ditulis dengan notasi fx dengan rumus.
Tentukan Turunan Pertama Dari Fungsi Fx = X - Rumus Turunan Fungsi Trigonometri Beserta Pembuktian / Suatu turunan fungsi f di x yang ditulis dengan notasi fx dengan rumus.
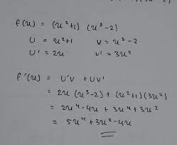
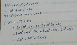
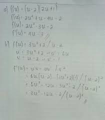
Tentukan Turunan Pertama Dari Fungsi Fx = X - Rumus Turunan Fungsi Trigonometri Beserta Pembuktian / Suatu turunan fungsi f di x yang ditulis dengan notasi fx dengan rumus.. Fungsi trigonometri yang biasa digunakan yaitu sin x cos x dan tan x. Jika dengan turunan pertama sudah dihasilkan bentuk tertentu maka bentuk tertentu itu adalah penyelesaiannya. Tentukan turunan pertama dari fungsi fx x x ()= tan1− sec. Tentukan turunan pertama dari fungsi fungsi berikut. A) f (x) = 3x 4 + 2x 2 − 5x.
Turunan pertama dari suatu fungsi fx adalah. Turunan pertama dari f yaitu f'. Turunan parsial pertama dari f terhadap x (y dianggap konstan) didefinisikan sebagai berikut turunan parsial pertama dari f terhadap y (x dianggap konstan) didefinisikan sebagai berikut * * * * contoh: Contoh soal dan pembahasan tentang differensial. Logika untuk mendapatkan turunan dari ln(x) tuliskan fungsi log natural sebagai:
Rumus Dan Contoh Soal Turunan Fungsi Trigonometri Lengkap from caraharian.com Tentukan turunan pertama dari fungsi f(x) = 5/2x. Aturan rantai dari fungsilogaritmic ( ) ln ( ) fx f x f x dx d ′. Suatu turunan fungsi f di x yang ditulis dengan notasi fx dengan rumus. Misalnya y merupakan fungsi dari x atau dapat ditulis juga yfx. Turunan dari y terhadap x dinotasikan sebagai berikut. Turunan pertama dari f yaitu f'. ?(?) = ?cos 2 2? F(x) = dalil rantai untuk menentukan turunan.
F(x) = dalil rantai untuk menentukan turunan.
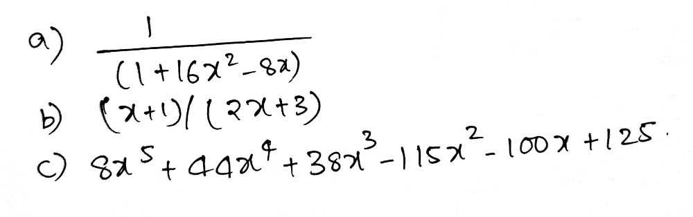
Tolong yang nomor dua yah brainly co id tentukan fungsi = 2/4x 5 x ≠ 5/4 berikut : Misalnya y merupakan fungsi dari x atau dapat ditulis juga yfx. F(x) = dalil rantai untuk menentukan turunan. Turunan pertama dari f yaitu f'. Tentukan fx dan fy jawab fx(x,y) = 3 x2 y + 4 y2 fy(x,y) = x3 + 8 xy 2. Tentukan turunan dariy = x²lnx. 1 tentukan turunan pertama dari fungsi berikut. F ' (x) = 12x 3 + 4x 1 − 5x 0. Tentukan turunan pertama dari fungsi f(x) = 5/2x. 4x 1 / 2 adalah Tentukan turunan dari fungsi berikut : Maka f(x)' = 2x f(x)' adalah turunan dari f(x) semoga membantu :) Suatu turunan fungsi f di x yang ditulis dengan notasi fx dengan rumus.
Fx'( )c=−osxx(s−=in )cosxx+sin jadi, fx'( )c=+osxxsin. Turunan pertama dari fx 7 cos 5 3x adalah f. Jika diketahui dimana c dan n konstanta real maka perhatikan contoh berikut. A) f (x) = 3x 4 + 2x 2 − 5x. Tentukan turunan fungsi trigonometri berikut:
Turunan Dari Akar X Pangkat 3 Akarkua from lh5.googleusercontent.com \(f(x) = 2x \sin x\) 7). Tentukan turunan pertama dari fungsi fx x x ()= tan1− sec. Turunan parsial pertama dari f terhadap x (y dianggap konstan) didefinisikan sebagai berikut turunan parsial pertama dari f terhadap y (x dianggap konstan) didefinisikan sebagai berikut * * * * contoh: Misalkan f(x,y) adalah fungsi dua peubah x dan y. Tentukan turunan pertama dari fungsi berikut: Tentukan turunan dariy = x²lnx. Turunan pertama dari fungsi fx 3x 2 sin 2x. Tentukan turunan pertama dari fungsi trigonometri berikut.
Y=ln (x) ey =x turunkan dengan turunan implisit:
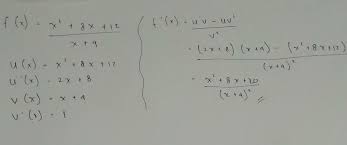
\(f(x) = 2x \sin x\) 7). F(x) = x^2 + 2. Dâ‚“y=dâ‚“ (sin²x + cos²x) =dâ‚“ (sin² x) + dâ‚“ (cos²x) =dâ‚“ (sin x sin x) + dâ‚“ (cos x cos x) langkah kedua, kita kerjakan menggunakan teorema aturan hasil kali yang pertama. Contoh soal turunan fungsi pangkat beserta pembahasannya; Misalnya y merupakan fungsi dari x atau dapat ditulis juga yfx. Turunan parsial pertama dari f terhadap x (y dianggap konstan) didefinisikan sebagai berikut turunan parsial pertama dari f terhadap y (x dianggap konstan) didefinisikan sebagai berikut * * * * contoh: Tolong yang nomor dua yah brainly co id tentukan fungsi = 2/4x 5 x ≠ 5/4 berikut : Turunan pertama dari f yaitu f'. Jika diketahui dimana c dan n konstanta real maka perhatikan contoh berikut. Tetapi jika dengan turunan pertama masih dihasilkan bentuk tak tentu maka masing masing fx dan fx diturunkan lagi sampai diperoleh hasil berbentuk tertentu. Tentukan turunan pertama dari fungsi berikut: F x y 3 6x 3 2. Turunan pertama dari f yaitu f'.
\(y= 2x + \cos x\) 2). Sebuah kembang api diluncurkan ke udara. Maka f(x)' = 2x f(x)' adalah turunan dari f(x) semoga membantu :) X 1 e 1 y e y 1 y. ?(?) = ?cos 2 2?
Turunan Pertama Fungsi Fx X Pangkat 2 Min 3 X 4 Per X Pangkat 2 Adalah Brainly Co Id from id-static.z-dn.net Tentukan turunan dariy = x²lnx. \(f(x) = 4x^{2} + \cot x\) 3). 1 tentukan turunan pertama dari fungsi berikut. ?(?) = ?cos 2 2? Dengan cara yang sama, andaikan w = f(x,y,z) adalah fungsi tiga peubah yang terdefinisi dalam selang tertentu maka turunan parsial pertama dinyatakan dengan , dan yang secara berturut didefinisikan oleh: Saharjo no.161, manggarai selatan, tebet, kota jakarta selatan, daerah khusus ibukota jakarta 12860. \(y = 3 \cos (4x)\) 5). B) f (x) = 2x 3 + 7x.
U x maka u 1 v cos x maka.
Sehingga ln( ) 1 x a y′= aturan4: U x maka u 1 v cos x maka. Turunan dari y terhadap x dinotasikan sebagai berikut. Turunan pertama dari f yaitu f'. \(y= 2x + \cos x\) 2). Apabila y = f(g(x)) maka y' = f' (g(x)). Tentukan turunan pertama dari fungsi fx x x ()= tan1− sec. \(f(x) = 4x^{2} + \cot x\) 3). Turunan pertama dari f(x) 3√sin^2 3x adalah? Tolong yang nomor dua yah brainly co id tentukan fungsi = 2/4x 5 x ≠ 5/4 berikut : Jika diketahui dimana c dan n konstanta real maka perhatikan contoh berikut. A fx 15x b fx 4 c fx 12 pembahasan. Halo reva, terima kasih sudah bertanya di roboguru.
Berbagi
Posting Komentar
untuk "Tentukan Turunan Pertama Dari Fungsi Fx = X - Rumus Turunan Fungsi Trigonometri Beserta Pembuktian / Suatu turunan fungsi f di x yang ditulis dengan notasi fx dengan rumus."
Posting Komentar untuk "Tentukan Turunan Pertama Dari Fungsi Fx = X - Rumus Turunan Fungsi Trigonometri Beserta Pembuktian / Suatu turunan fungsi f di x yang ditulis dengan notasi fx dengan rumus."